- Sie sind hier:
- Druckluftdüsen-Shop
- > Runddüsen
Lärmgeminderte Runddüse
849

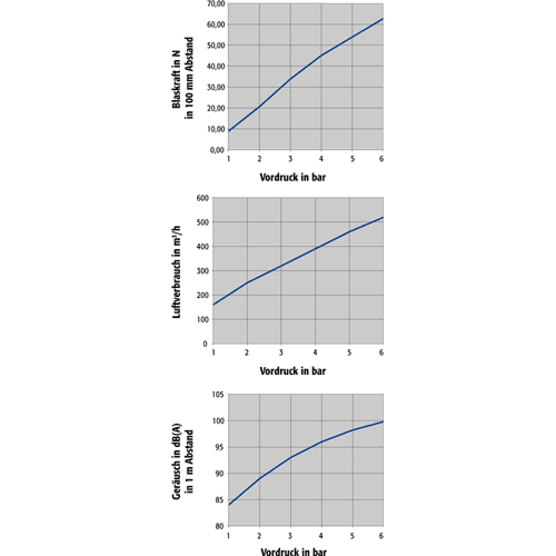
Lärmarme Druckluftdüse (Blasdüse) mit für Anwendungen bei welchen höchste Blaskraft gefordert wird (Stahlwerke, Walzwerke, Schmiedebetriebe, Gießereien, etc).
Damit die lärmgeminderte Blasdüse ihre volle Kraft entfalten kann ist unbedingt eine ausreichende Druckluftzuleitung zu gewährleisten.
Für besonders rauhe Einsatzfälle ist diese Blasdüse In Sonderausführung auch als Ganzmetall-Blasdüse lieferbar. Bitte fragen Sie bei Bedarf bei uns an.
Verwendung
Anwendungsgebiete sind zum Beispiel das möglichst geräuscharme Reinigen, Trocknen, Kühlen, Sortieren oder Transportieren von Flächen und Teilen.
Hinweis:
Nach Art. 33 der REACH-Verordnung weisen wir darauf hin, dass in diesem Produkt bzw. in dessen Einzelteilen der nachstehend spezifizierte Stoff als Bestandteil in CuZn39Pb3 (Ms58 / Werkstoffnummer 2.0401) mit mehr als 0,1 Massenprozent enthalten ist:
Werkstoff: Blei (Pb), CAS: 7439-92-1, EINECS: 231-100-4, Liste: SVHC Kandidatenliste.
Für Teile aus Messing und vernickelte Teile nehmen wir die Ausnahme gemäß Anhang III der Richtlinie Nummer 6c „Kupferlegierungen mit einem Massenanteil von bis zu 4% Blei“ in Anspruch.
Die Verwendung des Produktes liegt in der Verantwortung des Kunden.
Technische Daten
| Gesamtlänge | 85 mm |
|---|---|
| Düsenaußendurchmesser | 30 mm |
| Gewicht | 160 g |
| Wärmebeständigkeit | 50 Grad C |
| Werkstoff | Epoxidharz, Hart-PVC, Messing vernickelt |
