- Sie sind hier:
- Druckluftdüsen-Shop
- > Runddüsen
Lärmgeminderte Runddüse
1875

Lärmarme Druckluftdüse (Blasdüse) aus Alu-Druckguß für kleinflächige und universelle Anwendungen. Sie empfiehlt sich sowohl als Universaldüse für den Einsatz an Handblaspistolen, wie auch bei stationären Einsatzfällen.
Sie ist leicht, dabei sehr robust und praktisch in der Handhabung.
Die Besonderheit:
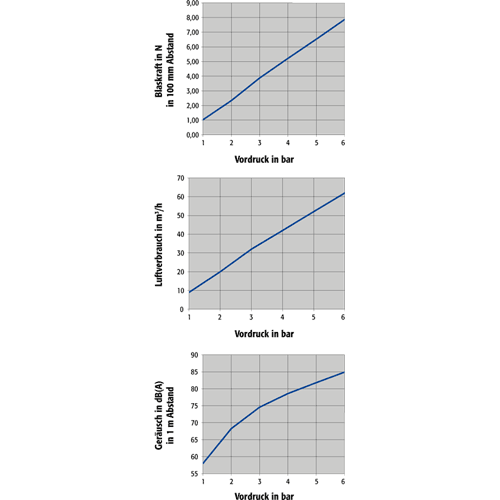
Diese Düse kann nicht zugehalten werden und erzeugt gemessen unmittelbar an der Düsenspitze bei 6 bar Vordruck einen Druck auf der Aufprallfläche von weit unter 2,0 bar (gemessen auf einer Bezugsfläche von 30 mm Durchmesser). Sie entspricht somit der amerikanischen OSHA-Richtlinie 1910.242(b).
Diese Richtlinie schreibt weitergehend bei der Verwendung von Druckluftdüsen einen geeigneten Späneschutzschild (z. B. unsere Artikelnummer 2453-004) und zur Personenreinigung die übliche persönliche Schutzausrüstung (PSA) vor!
In Deutschland ist das Abreinigen von Personen mit Hilfe von Druckluft grundsätzlich untersagt!
Viele andere unserer Druckluft-Blasdüsen sind für Anwendung bei hohen Temperaturen ebenfalls als "Ganzmetallausführungen"erhältlich. Bitte kontaktieren Sie uns bei Bedarf.
Verwendung
Anwendungsgebiete sind zum Beispiel das möglichst geräuscharme Reinigen, Trocknen, Kühlen, Sortieren oder Transportieren von Flächen und Teilen.
Technische Daten
| Gesamtlänge | 46 mm |
|---|---|
| Gewindelänge | 12 mm |
| Düsenaußendurchmesser | 17 mm |
| Gehäuseaußenmaß | D=22/SW19 mm |
| Gewicht | 48 g |
| Wärmebeständigkeit | 300°C |
| Werkstoff | Alu-Druckguß |
