- Sie sind hier:
- Druckluftdüsen-Shop
- > Flachdüsen
Lärmgeminderte Flachdüse lebensmittelecht
2138L

Diese lärmarme Druckluftdüse wird vorwiegend für flächige Anwendungen verwendet.
Sie ist lebensmitteltauglich und kann auch bei höheren Temperaturen eingesetzt werden.
Die Besonderheit:
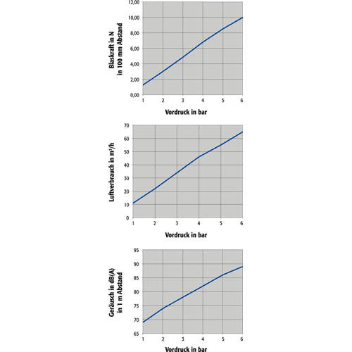
Diese Düse kann nicht zugehalten werden und erzeugt gemessen unmittelbar an der Düsenspitze bei 6 bar Vordruck einen Druck auf der Aufprallfläche von weit unter 2,0 bar (gemessen auf einer Bezugsfläche von 30 mm Durchmesser). Sie entspricht somit der amerikanischen OSHA-Richtlinie 1910.242(b).
Diese Richtlinie schreibt weitergehend bei der Verwendung von Druckluftdüsen einen geeigneten Späneschutzschild (z. B. unsere Artikelnummer 2453-004) und zur Personenreinigung die übliche persönliche Schutzausrüstung (PSA) vor!
In Deutschland ist das Abreinigen von Personen mit Hilfe von Druckluft grundsätzlich untersagt!
Viele unserer Düsen für Anwendung bei hohen Temperaturen sind ebenfalls als "Ganzmetallausführungen" erhältlich. Bitte kontaktieren Sie uns bei Bedarf.
Verwendung
Anwendungsgebiete sind zum Beispiel das möglichst geräuscharme Reinigen, Trocknen, Kühlen, Sortieren oder Transportieren von Teilen.
Technische Daten
| Gesamtlänge | 80 mm |
|---|---|
| Befestigungsbohrungen | Durchmesser 4,2 mm |
| Stichmaß | 30 mm |
| Gewicht | 141 g |
| Wärmebeständigkeit | 400°C |
| Werkstoff | VA-1.4404 |
