- Sie sind hier:
- Druckluftdüsen-Shop
- > Flachdüsen
Lärmgeminderte Flachdüse
874

Lärmarme Druckluftdüse für vorwiegend flächige Anwendungen.
Für den Einsatz im Lebensmittelbereich ist diese Düse auf Anfrage auch in der Version „L“ lieferbar.
Verwendung
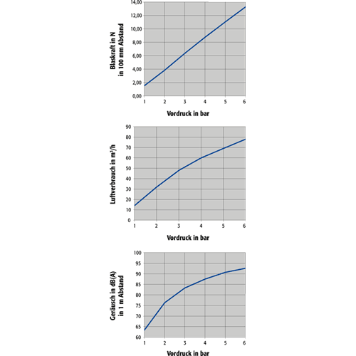
Anwendungsgebiete sind zum Beispiel das möglichst geräuscharme Reinigen, Trocknen, Kühlen, Sortieren oder Transportieren von vorwiegend kleinen Flächen und Teilen.
Hinweis:
Nach Art. 33 der REACH-Verordnung weisen wir darauf hin, dass in diesem Produkt bzw. in dessen Einzelteilen der nachstehend spezifizierte Stoff als Bestandteil in CuZn39Pb3 (Ms58 / Werkstoffnummer 2.0401) mit mehr als 0,1 Massenprozent enthalten ist:
Werkstoff: Blei (Pb), CAS: 7439-92-1, EINECS: 231-100-4, Liste: SVHC Kandidatenliste.
Für Teile aus Messing und vernickelte Teile nehmen wir die Ausnahme gemäß Anhang III der Richtlinie Nummer 6c „Kupferlegierungen mit einem Massenanteil von bis zu 4% Blei“ in Anspruch.
Die Verwendung des Produktes liegt in der Verantwortung des Kunden.
Technische Daten
| Gesamtlänge | 100 mm |
|---|---|
| Gewindelänge | 10 mm |
| Düsenbreite | 21 mm |
| Düsenstärke | 6 mm |
| Gewicht | 36 g |
| Wärmebeständigkeit | 50°C |
| Werkstoff | Messing vernickelt, Hart-PVC, zugelassener Kleber |
